Python, OpenCV, NumPy, Scikit-learn
2023
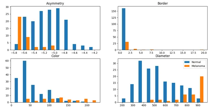
Developed a melanoma detection model achieving 83% accuracy using classical machine learning techniques combined with image processing and feature extraction pipelines.
The pipeline includes dermoscopic image preprocessing, segmentation, and feature extraction using OpenCV, followed by classification ABCDE




